Por Armando González Romero
Es posible que las ciencias físicas permitan algún día a nuestros descendientes establecer las concomitancias y condiciones físicas exactas de la extraña emoción llamada belleza. Pero si ese día llega, la emoción subsistirá lo mismo que ahora fuera del radio de acción del mundo físico. –Thomas Henry Huxley- (1825-1895).
Huxley, biólogo inglés defensor de las teorías de Darwin, escribió entre otras muchas cosas un libro titulado Ciencia y Cultura. En su frase anterior hace alusión precisa a los componentes de la “extraña emoción llamada belleza”; por un lado expresa su deseo de que la ciencia nos permita establecer las condiciones físicas exactas que hacen bella a una creación. En su contexto profetiza que la emoción subsistirá pese a que la belleza sea reducida al campo del mundo físico.
De acuerdo con Huxley, tenemos entonces en la belleza dos elementos constitutivos: 1, Un elemento objetivo: los atributos físicos que como tales, confieren una forma a la materia, y por ende puede ser medida con exactitud. 2, Un elemento subjetivo: que origina el sentimiento de placer o deleite en el sujeto que observa esa creación.
Este personal “sentimiento” o emoción no se puede medir y su intensidad depende de la sensibilidad de quién ve, de quién oye, de quién huele, del que toca, en suma de aquél que con sus órganos de los sentidos percibe la belleza en una obra de la naturaleza, incluida por supuesto, la naturaleza humana. Esto pude ser un atardecer, el canto de un ave, el aroma de una rosa o la delicada piel del sujeto amado. O bien las creaciones del hombre: una ecuación matemática, una pintura, una escultura, una sinfonía, una poesía o un rostro bello.
En síntesis, para comprender lo que es la belleza necesitamos del conocimiento físico, o mejor dicho de la Física como ciencia que se expresa con matemáticas y el lenguaje de estas son los números y las ecuaciones. Para sentir la belleza necesitamos nuestros órganos sensoriales para captar la esencia de las cosas y transformar, en nuestro cerebro, el estímulo puramente físico en deleite espiritual.
Como atributos físicos de las cosas bellas están la armonía, la proporción y la simetría. Toda la Creación esta imbuida de estas características. Aún en algo tan desagradable como las moscas, o los artrópodos parásitos o los venenosos arácnidos existen las mismas proporciones armónicas que presentan los bellos insectos como las mariposas, las aves, y los mamíferos incluido por supuesto el hombre. Ya Darwin (1809-1892) en su célebre obra “El origen de las Especies por medio de la selección natural” (1859) descubre cómo evolucionan los organismos a partir de un esquema biológico bien definido hasta llegar al hombre, cúspide de la pirámide evolutiva.
Pero, después de todo ¿Qué es la belleza?
Según el diccionario1 la belleza es la “propiedad de las cosas que nos hace amarlas, infundiendo en nosotros deleite espiritual.”
Para Edgar Alan Poe, “la belleza de cualquier clase, en su manifestación suprema, excita invariablemente el alma sensitiva hasta hacerle derramar lagrimas”2, suponemos que de placer. Aquí el “alma sensitiva” adquiere la connotación del sujeto sensible que es capaz de emocionarse en grado supremo.
Solemos decir que un individuo tiene bellos sentimientos, o que una cosa o persona es bella por sus atributos físicos; los sentimientos son manifestaciones del espíritu. Por lo tanto la belleza es espiritual y física. “Si tienes belleza y nada más, has conseguido el mejor invento de Dios.” 3
Pero acaso Dios nos permite indagar en los misterios de su creación? ¿Existirán pistas para descubrir su mejor invento, la belleza? Einstein refiriéndose a los misterios del Universo dijo alguna vez: “Yo solo deseo conocer los pensamientos de Dios… el resto son detalles… “ y cuando menos, con esos “detalles” pudo revolucionar la física aportando sus pensamientos y estos, transformados en lenguaje matemático, escribió sus fórmulas que han permitido a los científicos acercarse al origen del Universo con todas sus espléndidas bellezas.
Entonces, ¿existe acaso una fórmula que determine a la belleza?
Y si existe, ¿es su aplicación limitada solo a un grupo de cosas, o puede aplicarse a toda la Creación en general
Ó, ¿es la belleza englobada en la disciplina Estética, un concepto filosófico abstracto, elusivo a la conmensuración.
Las interrogantes anteriores son las cuestiones básicas sobre las que pretendo desarrollar este ensayo. Iniciaré por la última.
En su más alto y profundo significado, Estética es la filosofía de la belleza y el arte. Al igual que nosotros, los antiguos filósofos griegos se preguntaron ¿Qué es la belleza?, ¿ existe lo bello en sí y es objetivo y mensurable?, o solo un sujeto especialmente dotado puede percibir la belleza, siendo esta por tanto un puro ideal subjetivo.
La “estética” cuya etimología griega aisthetikós deriva de aisthesis = sensación, fue en su origen, un concepto metafísico platónico. Aristóteles determinó como propiedad de lo bello, el orden, la simetría y la delimitación. Posteriormente casi todos los filósofos se han cuestionado sobre el sentimiento estético; entre ellos destaca Kant. Este dividió su famosa obra “Critica de la razón pura” en la estética y la lógica trascendentales. Estudia en la primera las condiciones de la intuición o conocimiento sensible. Para Kant la belleza es formal, y solo es bello lo que es objeto de un universal placer. Lo cierto es que la belleza es un predicado del juicio sintético a priori que el hombre relaciona a un objeto o a una abstracción que surgida del intelecto, le causa una emoción estética al contemplarlo o percibirlo por cualquiera de los sentidos. Pero ¿Qué es la emoción estética? Es un sentimiento agradable, puro, desinteresado que afecta armónicamente a todas las facultades humanas: sensitivas, intelectivas y morales. Como contraparte existen conceptos opuestos a lo bello como son: lo feo, lo grotesco o lo ridículo.
Desde sus orígenes, el ser humano a confrontado su espíritu con el mundo que le rodea y en consecuencia ha creado la “cultura”. Esta comprende la ciencia, el arte y los valores morales. El objeto de la ciencia es conquistar la verdad; el arte anhela expresar la belleza y la moral tiene como meta la justicia. Luego se crea la Filosofía para indagar y explicar la “cultura”.
Huntley 3 establece que la capacidad para apreciar la belleza es un don humano y por lo tanto que nos distingue de los animales y sugiere encontrar el origen en el Génesis I, v. 26: “ Y Dios dijo: hágase al hombre a nuestra imagen y semejanza”. Aquí según él, se encuentra la pista, porque el hombre al parecerse a su Creador, a nacido para crear: procrear, y crear cultura dentro de la cual, como dijimos, está la belleza. Para muchos filósofos la profunda satisfacción espiritual que se origina en el acto creador de valores reales, se encuentra la razón de la existencia humana que está impulsada por su amor a la belleza, innata en todos nosotros.
Guzmán Leal 4 señala qué: “la belleza se divide en absoluta y relativa: la belleza absoluta es la que se encuentra en Dios, fuente manantial de donde se deriva toda la belleza creada; llámase absoluta porque no hay en ella mezcla de imperfección alguna. La belleza relativa es la que resplandece en los seres finitos y limitados de la Creación y se divide en: natural y artificial o artística; la primera es la que brilla en los objetos de la naturaleza sin intervención del ser humano, y la artificial o artística se debe al ingenio del hombre”. En esta última se incluyen por supuesto todas las manifestaciones creativas del espíritu, representadas por las artes, entre las que se encuentra la medicina y la cirugía, ciencia y arte apasionantes a las que nos dedicamos. En éstas encaja la cirugía plástica, pues es realizada por un cirujano escultor que modela la materia viviente. En este sentido, la cirugía plástica es un procedimiento quirúrgico que se ejecuta en un individuo que desea mejorar su apariencia y por lo tanto el cirujano pretende sobrepasar los límites normales de una estructura determinada, para llevarla a un grado superior de proporción, armonía y belleza.
Es indudable que existen individuos dotados de mayor sensibilidad para intuir lo bello y establecer así, las normas o cánones de belleza, lo mismo en un pensamiento que en las matemáticas, en la música o en cualquiera de las artes. Uno de estos prohombres fue Pitágoras. Él concebía la Creación como un ordenamiento basado en los números y la geometría y afirmó que la esencia de todas las cosas era el número, es decir el orden mensurable y como gran filósofo y matemático que fue, trato de adaptar el conocimiento a los números. De su geometría y de sus matemáticas, se deriva la fórmula intrínseca de la proporción, componente elemental de la belleza.
Pitágoras (c.582-497 A.C.) incluido entre los siete sabios de Grecia, ejemplifica con su legado filosófico y científico el esplendor de la antigua Hélade. De origen jonio, nació en la isla de Samos aproximadamente en el año 582 antes de Cristo. A los veinte años de edad, había conocido a Tales y Anaximandro en Mileto, pero habiendo oído hablar del saber prodigioso de los sacerdotes egipcios y de sus misterios formidables, decidió partir para Egipto con el objetivo de hacerse iniciar por los sacerdotes de Memphis, en los tiempos del faraón Amasis . Allí pudo profundizar las matemáticas sagradas, la ciencia de los números o de los principios universales, que fue el centro de su sistema filosófico y que después formuló de manera nueva. “La ciencia de los números y el arte de la voluntad son las dos claves de la magia, decían los sacerdotes de Memphis; ellas abren todas las puertas del universo” 4
Su iniciación duró veintidós años bajo el pontificado del sumo sacerdote Sonchis. Luego vino la invasión y conquista de Egipto por Cambises, rey de los persas y los medos, e hijo de Ciro el Grande, al que sucedió en el trono entre 528 y 522 a. C. Déspota y cruel, Cambises después de decapitar a miles de egipcios, destierra a Pitágoras a Babilonia junto con una parte del sacerdocio egipcio. Aquí tiene contacto con los herederos de Zoroastro y con los sacerdotes de tres religiones diferentes: la caldea, la persa y la judía lo que le permite a Pitágoras ensanchar su horizonte filosófico y científico. Después de esto, sabía mas que cualquiera de sus contemporáneos griegos. Había podido comparar las ventajas e inconvenientes del monoteísmo judío, del politeísmo griego, del trinitarismo indio y del dualismo persa. Sabía que todas esas religiones eran rayos de una misma verdad. Después de doce años de internamiento en Babilonia, tenía la clave del conocimiento esotérico, es decir, la síntesis de todas esas doctrinas. Era pues tiempo de volver a Grecia después de treinta y cuatro años, a cumplir su misión. 4
Pitágoras se dirige a Delfos, localizada al pie del monte Parnaso. Aquí se encontraba el templo de Apolo, famoso por sus oráculos que emitía por mediación de la pitia o pitonisa. En este templo Pitágoras transmitió sus conocimientos y preparó a los sacerdotes y a la gran pitonisa Teoclea enseñándoles los secretos de su doctrina. Después de un año entero, el maestro partió hacia Crotona, ciudad localizada al sur de Italia, en Calabria. En los tiempos de Pitágoras, el sur de Italia, incluyendo la isla de Sicilia, eran ocupadas por colonias griegas. Allí fundó una escuela de filosofía esotérica que sería conocida como la secta pitagórica; Pitágoras llamaba matemáticos a sus discípulos porque su enseñanza superior comenzaba por la doctrina de los números. El NUMERO no se consideraba solo como una cantidad abstracta, sino como la virtud intrínseca y activa del UNO supremo que es Dios. La Unidad que contiene al Infinito.
Según Edouard Schure,4 “En las matemáticas trascendentes se demuestra algebraicamente que cero multiplicado por infinito es igual a uno. Cero, en el orden de las ideas absolutas significa el Ser indeterminado. El infinito, lo eterno, en el lenguaje de los templos se simbolizaba por un círculo o por una serpiente que se muerde la cola, que significa el infinito, moviéndose a sí mismo. Y, desde el momento que el Infinito se determina, produce todos los números que en su grande unidad contiene, y que gobierna en una perfecta armonía.”
Un oráculo de Zoroastro dice: “El número tres reina en el universo, y la mónada (uno, único, unidad) es su principio”.
La Mónada representa la esencia de Dios. Para Pitágoras el mundo real es triple y regido por la Tríada o Ley del ternario.
El universo está formado por tres esferas concéntricas: el mundo natural, el mundo humano y el mundo divino.
De igual modo, el hombre se compone de tres elementos distintos pero fundidos uno en otro: cuerpo, alma y espíritu. Este es el intelecto otorgado por Dios y estrechamente unido al alma.
El mundo divino, representado por Dios, también es una trinidad: Padre, Hijo y Espíritu Santo. “Tres personas distintas y un solo Dios verdadero” para la religión cristiana. El culto trinitario de la India está representado por Brahama, Vishnú y Siva.
En el mundo natural podremos aplicar, como veremos más adelante, la ley de los tercios a todos los cuerpos armoniosamente proporcionados.
Las tres esferas del Universo representadas por el mundo natural, el mundo humano y el mundo divino, resumidos en la Mónada, constituyen la “Tétrada sagrada”.
Pitágoras además de la enseñanza de las matemáticas puras, iba mucho más lejos con el significado de los números 5 y decía que los principios esenciales están contenidos en los cuatro primeros números: 1, 2, 3 y 4, porque adicionándolos o multiplicándolos se encuentran todos los demás. El número 1, “unidad” representa a Dios; el 2 y su cuadrado (22) a la mujer y el 3 al hombre, el elemento del 3 es el agua y su figura geométrica correspondiente es el triángulo. El 4 cuya figura geométrica es el cuadrado, es considerado como el número cósmico y número de la armonía por ser el cuadrado de 2 (22 = 2 x 2 = 4); el 2 (principio maternal) se ensancha hacia los cuatro costados del Cosmos ( puntos cardinales), y son las cuatro estaciones del año la expresión de la madre tierra. También son los cuatro elementos eternos que componen el Universo de Empédocles (c.490 a.C): aire, fuego, agua y tierra. El cristianismo lo adopta en sus cuatro evangelistas y desde tiempos remotos los templos y los altares se han construido sobre plantas cuadradas o cuadrados oblongos (más largos que anchos). El cubo, en tanto que poliedro de seis caras cuadradas es otro de los cinco sólidos platónicos y en la filosofía platónica representa a la tierra. El 5 según Pitágoras, es el número perfecto del microcosmos hombre; el 5 en tanto que suma de los elementos femenino (2) y masculino (3) era símbolo del matrimonio y de la síntesis; es el número de los dedos de la mano y el pie y de los 5 sentidos. Su figura geométrica es el pentágono formado por tres triángulos del cual se deriva el pentagrama o estrella de 5 puntas; Pitágoras y los pitagóricos, adoptaron este símbolo como identificación de su secta y significaba para ellos la salud y el conocimiento; es una figura geométrica rica en secciones doradas (f). El pentágono junto con el triángulo equilátero y el cuadrado (polígonos simples) forman la base de los 5 sólidos platónicos (polígonos regulares de tres dimensiones) : tetraedro (cuatro caras), octaedro (ocho caras), icosaedro (veinte caras), exaedro (seis caras) y duodecaedro (doce caras). Los tres primeros están basados en el triángulo, el exaedro en el cuadrado y el duodecaedro en el pentágono. Todos estos polígonos están saturados de secciones doradas. La escuela pitagórica influenció a Platón y este trató de explicar la composición del mundo en base al simbolismo de los polígonos. Este conocimiento, y toda la geometría helénica, fueron compendiados en el libro XIII de la obra de Euclides “Los Elementos”.
Siguiendo con los números, la adición de los cuatro primeros números da como resultado el número diez: 1+ 2 + 3 + 4 = 10. Esta suma era conocido entre los pitagóricos como Tetractis. Esta es una palabra griega que significa literalmente “número cuatro”, sinonimia de quaternión (cuaternario) la cual se aplicaba a un símbolo de Pitágoras que se compone de diez puntos distribuidos en forma triangular. La figura en conjunto era en sí, el emblema Tetragrama o nombre sagrado de cuatro letras, en este caso cada lado del triángulo está formado por cuatro puntos. Es posible que Pitágoras lo haya aprendido en su estancia en Babilonia. Las partes que lo componen, eran también símbolos fecundos, por cuya razón, el punto vértice era el símbolo del principio creador; los dos puntos que siguen hacia abajo representan el principio de la materia (también a la mujer); los tres puntos que le siguen, el mundo que precede de su unión (también al hombre); y los cuatro últimos el de las artes liberales y las ciencias que completan y perfeccionan el mundo. Pitágoras explicaba que la palabra Tetractys, significa en realidad, la fuente de la naturaleza que se mueve perpetuamente. La pirámide que es la primera figura sólida, se encuentra en el cuaternario o tetractys, símbolo universal de la inmortalidad”6. Los egipcios construyeron sus pirámides para enterrar a sus faraones y propiciar su inmortalidad en el otro mundo. Curiosamente, la unidad monetaria del actual sistema económico mundial, el dólar, lleva la pirámide y en su vértice el ojo “divino”. Es significativa también, la inscripción en latín: novus ordo seclorum, ( nuevo orden para los siglos).
Como pudimos apreciar, de la suma de los cuatro primeros números resulta el diez; este es el número perfecto por excelencia, puesto que representa todos los principios de la divinidad evolucionados y reunidos en una nueva unidad. El número 7 (siete), siendo el compuesto de 3 y 4, significa la unión de la tríada humana con la sagrada. El 7 es el número de los adeptos y de los grandes iniciados. Hay siete notas musicales, son siete los días de la semana; siete por cuatro son 28 y estos son los días de un mes lunar. Siete son los colores del arco iris, o lo que es lo mismo, representa la composición física de la luz refractada a través de las gotas de lluvia, igual que sucede cuando la luz pasa a través del prisma inventado por Newton.
Además de la iniciación filosófica, Pitágoras trajo consigo desde Babilonia y Egipto, los conocimientos geométricos que le hicieron famoso. Especial mención requieren el triángulo y el cuadrado ( donde aparecen otra vez los números 3 y 4 de sus respectivos lados).
Para los esotéricos, el Triángulo Equilátero representa a Dios, o la armonía. Entre los fracmasones tiene un extenso campo de significados: la fuerza, la belleza y la sabiduría de Dios; los reinos mineral, vegetal y animal; las tres fases de la evolución del hombre separatio, fermentatio y putrefactio (el nacimiento, la madurez y la muerte); la mesura en el hablar, el pensar y el actuar. Para los cristianos es el símbolo de la Trinidad (padre, hijo y espíritu santo) combinado con un ojo o una mano dentro del triángulo.5
El triángulo rectángulo de proporciones armónicas 3, 4 y 5 entre sus lados, dio origen al famoso teorema que lleva el nombre de Pitágoras y que dice: “La suma de los cuadrados de los catetos (los lados que forman el ángulo recto) es igual al cuadrado de la hipotenusa (el lado mayor que une a los catetos)”. La importancia de este teorema radica en que su uso permite calcular las superficies o los volúmenes, tan importante para los babilonios y los egipcios que lo utilizaron en la medición de las tierras de cultivo en las márgenes de sus ríos y en sus fastuosas construcciones. Recuérdense las pirámides de Egipto, diseñadas bajo estricta geometría y seguramente motivadas con una mezcla de sentimiento religioso y conocimiento astrológico.
Los lados de las pirámides egipcias, al igual que las aztecas y mayas, están dirigidas a los cuatro puntos cardinales. Aunque coincidentales, es difícil suponer una comunicación entre los dos pueblos, separados en el tiempo y el espacio terreno. Sin embargo sus construcciones nos demuestran que, al igual que la mayoría de las antiguas culturas, los constructores eran poseedores del saber geométrico y astronómico elementales, adquiridos seguramente por la observación de los fenómenos naturales, cuyo análisis les permitía conocer el cambio de las estaciones y aplicarlas a la agricultura y a la medición del tiempo. Cuando no podían explicarse un fenómeno, para ellos incomprensible, tuvieron que recurrir a la imaginación de un Creador Supremo, es decir, tuvieron que “inventar” a sus dioses.
Con los datos precedentes podemos ya iniciar la búsqueda en la geometría, de una fórmula matemática que sea aplicada a las cosas bellas. Es casi seguro que los mesopotámicos inventaron la geometría y la transmitieron a los egipcios; en la cultura de estos podemos encontrar la fuente del conocimiento en la que bebió Pitágoras.
Si analizamos las pirámides egipcias su construcción geométrica se basan en un triángulo equilátero, el cual dividido equidistantemente produce dos triángulos rectángulos. En la correlación matemática del triángulo rectángulo, queda inscrita la cifra matemática que dio origen a las proporciones armónicas de todos las cosas, animadas e inanimadas, que existen en la naturaleza y que es la base de la belleza. Con regla y compás los geómetras fundamentaron su ciencia.
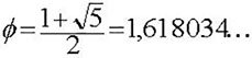
En la construcción de los polígonos simples: triángulo, cuadrado y pentágono, seccionados por el compás o la regla, aparecen dos segmentos armónicos y representadas estas proporciones con una sorprendente y misteriosa cifra: 1.618… Esta se representa con el símbolo f, correspondiente a la letra griega “phi”, en honor a Phidias (Fidias, 500-431 a.C.) por su maravillosa obra, el Partenón, una de las construcciones más bellas de la antigüedad y prototipo de armonía y equilibrio en todos sus componentes. Phi f aparece definida por primera vez en los Elementos de Euclides en la descripción que este hace de la construcción de un pentágono a partir de un triángulo isósceles .7
En lenguaje matemático, LA BELLEZA SE REPRESENTA EN LA SIGUIENTE ECUACIÓN:
biografia (5)1/2 + 1 = 1.618… = f (fórmula de Binet)8
2
(RAIZ CUADRADA DE 5 = 2.236 + 1 = 3.236, DIVIDIDO ENTRE DOS = 1. 618… (los tres puntos suspensivos significan hasta el infinito).
La utilización del símbolo f en cualquier gráfico, tiene la ventaja de que señala el sitio en que se encuentran los segmentos proporcionados de cualquier plano, área o volumen, sin tener que señalarlo numéricamente. Las proporciones armónicas están formadas por un segmento mayor y otro menor que guardan entre sí y entre la longitud total la siguiente proporción:
1: 1.618…
Esta cifra, por su sorprendente relación con las cosas bellas, fue llamada desde hace muchos siglos, “Divina Proporción”. Leonardo de Vinci la llamaba “Sección Aurea”. También se le conoce como Sección dorada, Regla de oro y Regla de los tercios.
Durante los últimos siglos, creció el mito de que los antiguos griegos estaban sujetos a una proporción numérica específica, esencial para sus ideales de belleza y geometría. Dicha proporción es conocida con los nombres de RAZÓN ÁUREA O DIVINA PROPORCIÓN.
Aunque recientes investigaciones revelan que no hay ninguna prueba que conecte esta proporción con la estética griega, esta sigue manteniendo un cierto atractivo como modelo de belleza.
Matemáticamente nace de plantear la siguiente proporcionalidad entre dos segmentos y que dice así: «Buscar dos segmentos tales que el cociente entre el segmento mayor y el menor sea igual al cociente que resulta entre la suma de los dos segmentos y el mayor»
Sean los segmentos:
A: el mayor y B el menor, entonces planteando la ecuación es:
A/B =(A+B)/A
Cuando se resuelve se llega a una ecuación de 2do grado que para obtener la solución hay que aplicar la resolvente cuadrática.
El valor numérico de esta razón, que se simboliza normalmente con la letra griega «fi» es:

Los griegos de la antigüedad clásica creían que la proporción conducía a la salud y a la belleza. En su libro Los Elementos (300 a. C.), Euclides demostró la proporción que Platón había denominado «la sección», y que más tarde se conocería como «sección áurea».
Ésta constituía la base en la que se fundaba el arte y la arquitectura griegos; el diseño del Partenón de Atenas está basado en esta proporción.
En la Edad Media, la Sección Áurea era considerada de origen divino: se creía que encarnaba la perfección de la creación divina. Los artistas del Renacimiento la empleaban como encarnación de la lógica divina. Jan Vermeer (1632-1675) la usó en Holanda; pero, años después, el interés por ella decreció hasta que, en 1920, Piet Mondrian (1872-1944) estructuró sus pinturas abstractas según las reglas de la sección áurea.
También conocido como la Divina Proporción, la Media Áurea o la Proporción Áurea, este ratio se encuentra con sorprendente frecuencia en las estructuras naturales así como en el arte y la arquitectura hechos por el hombre, en los que se considera agradable la proporción entre longitud y anchura de aproximadamente 1,618. Sus extrañas propiedades son la causa de que la Sección Áurea haya sido considerada históricamente como divina en sus composiciones e infinita en sus significados. Los antiguos griegos, por ejemplo, creyeron que el entendimiento de la proporción podría ayudar a acercarse a Dios: Dios «estaba» en el número.
Sin duda alguna, es cierto que la armonía se puede expresar mediante cifras, tanto en espacios pictóricos o arquitectónicos, como en el reino de la música o, cómo no, en la naturaleza.
La armonía de la Sección Áurea o Divina Proporción se revela de forma natural en muchos lugares. En el cuerpo humano, los ventrículos del corazón recuperan su posición de partida en el punto del ciclo rítmico cardiaco equivalente a la Sección Áurea. El rostro humano incorpora este ratio a sus proporciones. Si se divide el grado de inclinación de una espiral de ADN o de la concha de un molusco por sus respectivos diámetros, se obtiene la Sección Áurea. Y si se mira la forma en que crecen las hojas de la rama de una planta, se puede ver que cada una crece en un ángulo diferente respecto a la de debajo. El ángulo más común entre hojas sucesivas está directamente relacionado con la Sección Áurea.

En arte y la arquitectura también se han usado con extraordinarios resultados las famosas propiedades armoniosas de la Sección Áurea.
1 las dimensiones de la Cámara Real de la Gran Pirámide se basan en la Sección Áurea; el arquitecto Le Corbousier diseño su sistema Modular basándose en la utilización de la proporción áurea, el pintor Mondrian basó la mayoría de sus obras en la Sección Áurea. Leonardo la incluyó en muchas de sus pinturas y Claude Debussy se sirvió de sus propiedades en la música.
La Sección Áurea también surge en algunos lugares inverosímiles: los televisores de pantalla ancha, las postales, las tarjetas de crédito y las fotografías se ajustan por lo común a sus proporciones. Y se han llevado a cabo muchos experimentos para probar que las proporciones de los rostros de las top models se adecuan más estrechamente a la Sección Áurea que las del resto de la población, lo cual supuestamente explica por qué las encontramos bellas.
Luca Paccioli, un amigo de Leonardo da Vinci al que conoció mientras trabajaba en la corte de Ludovico Sforza, duque de Milán, escribió un tratado crucial sobre la Sección Áurea, titulado De divina proportione. En este libro, Paccioli intenta explicar el significado de la Divina Proporción de una forma lógica y científica, aunque lo que él creía era que su esquiva cualidad reflejaba el misterio de Dios. Esta y otras obras de Paccioli parece que influyeron profundamente a Leonardo, y ambos se convirtieron en amigos inquebrantables, trabajando incluso juntos sobre problemas matemáticos.
El uso de la Sección Áurea es evidente en las obras principales de Leonardo, quien mostró durante mucho tiempo un gran interés por las matemáticas del arte y de la naturaleza. Como el brillante Pitágoras antes que él, Leonardo hizo un estudio en profundidad de la figura humana, demostrando que todas las partes fundamentales guardaban relación con la Sección Áurea. Se ha dicho que la gran pintura inacabada de Leonardo, San Jerónimo, que muestra al santo con un león a sus pies, fue pintada en un intencionado estilo para asegurarse de que un rectángulo dorado (véase entrada) encajara perfectamente alrededor de la figura central. Dada la afición de Leonardo por la «geometría recreativa», esto parece una suposición razonable. También el rostro de la Mona Lisa encierra un rectángulo dorado perfecto.
Después de Leonardo, artistas como Rafael y Miguel ángel hicieron un gran uso de la Sección Áurea para construir sus obras. La impresionante escultura de Miguel Ángel El David se ajusta en varios sentidos a la Sección Áurea, desde la situación del ombligo con respecto a la altura, hasta la colocación de las articulaciones de los dedos.
Los constructores de las iglesias medievales y góticas y de las catedrales europeas también erigieron estas asombrosas estructuras para adaptarse a la Sección Aurea. En este sentido, Dios realmente estaba en los números.
En el suelo del lugar donde se encuentra el cuerpo de Jacques Sauniére al comienzo del libro hay escritos algunos números. Sophie, su nieta, reconoce la secuencia numérica y la interpreta como una señal de su abuelo, aunque lleva su tiempo que emerja su completa significación. Una vez que ella tiene la llave de la caja de depósitos del banco y comprende que necesita un número de cuenta para tener acceso a ella, las cifras se ordenan ascendentemente para darle la solución.
La secuencia de Fibonacci es una secuencia infinita de número que comienza por:
0, 1, 1, 2, 3, 5, 8, 13, 21, 34, 55, 89, 144, 233, ….., en la que cada uno de ellos es la suma de los dos anteriores.
Así: 2=1+1, 3=2+1, 5=3+2, 13=8+5. Para cualquier valor mayor que 3 contenido en la secuencia, la proporción entre cualesquiera dos números consecutivos es 1,618, o Sección Áurea.
La secuencia de Fibonacci se puede encontrar en la naturaleza, en la que la flor del girasol, por ejemplo, tiene veintiuna espirales que van en una dirección y treinta y cuatro que van en la otra; ambos son números consecutivos de Fibonacci. La parte externa de una piña piñonera tiene espirales que van en sentido de las manecillas del reloj y otras que lo hacen en sentido contrario, y la proporción entre el número de unas y otras espirales tiene valores secuenciales de Fibonacci. En las elegantes curvas de una concha de nautilus, cada nueva circunvolución completa cumplirá una proporción de 1: 1,618, si se compara con la distancia desde el centro de la espiral precedente.
Leonardo Fibonacci nació en Pisa, Italia, en 1170. Creció y fue educado en Bugia, norte de África (hoy llamada Bejaia, en Argelia), desde donde regresó a Pisa alrededor del año 1200. Fibonacci fue sin duda influido y posiblemente enseñado por matemáticos árabes durante este su periodo más formativo. Escribió muchos textos matemáticos e hizo algunos descubrimientos matemáticos significativos, lo que ayudó a que sus trabajos fueran muy populares en Italia y a que le prestara atención el Sacro Emperador Romano del momento Federico II. quien lo invito a su corte de Pisa. Fibonacci murió en 1250.
Por José de Toledo | Cuaderno de Ciencias – vie, 26 ago 2011

La línea imaginaria espiral que recorre una concha.
En la naturaleza hay algunas coincidencias curiosas. Debes saber, por ejemplo, que el número de semillas de una espiral de un girasol y los pétalos de muchas flores siguen el mismo patrón que la concha de un caracol o un Nautilus. Esta relación, aunque parezca mentira, no es causal, sino que responde a una serie de fórmulas matemáticas que aparecen una y otra vez en un gran número de seres vivos. Son los patrones.
Los más habituales son dos: el número áureo (o proporción áurea) y la serie de Fibonacci, que además están muy relacionados entre sí. En ambos casos, su desarrollo puede ser complicado de entender, pero podemos descubrirlos de manera natural. Para que lo entiendas, nadie calcula si la distancia entre la nariz y la barbilla es proporcional a la longitud total de la cara, pero si es así, consideramos a esa persona bella.
El número áureo es igual a 1,618… Las espirales áureas se alejan del centro con esta proporción cada cuarto de vuelta; de este modo, también se disponen las hojas en las ramas, o las ramas en los troncos. No se trata de una coincidencia, sino que es la manera más efectiva de organizar las estructuras. Ese patrón permite, entre otras cosas, que las ramas crezcan sin hacerse sombra las unas a las otras.

Las hojas de una alcachofa
El empaquetado en espiral de proporciones áureas aparece a su vez en las hojas de las alcachofas o en las estructuras de una piña. En ellas también encontramos la serie de Fibonacci: el número de hojas de una espiral de alcachofa siempre pertenece a este sistema; el de la espiral contraria, es el número anterior o superior de la serie. Un juego típico entre biólogos es contar dichas estructuras en una espiral y tratar de adivinar el de la contraria.
Fibonacci creó su famosa serie al intentar descubrir cómo mejorar la cría de conejos. La secuencia relaciona el número de nacimientos que tienen lugar cada periodo de cría, comenzando con los números cero y uno, denominados generadores. A partir de ahí los siguientes números son la suma de los dos anteriores: 0, 1, 1, 2, 3, 5, 8…
El modelo no funcionó muy bien, pero mucho después se descubrió que servía perfectamente para calcular el número de ancestros de una abeja macho: El zángano nace de un huevo sin fecundar; tiene, por tanto una madre y ningún padre. Su madre, en cambio, sí tuvo dos padres, de tal manera que el original tiene dos abuelos y tres bisabuelos, dos de su abuela y uno de su abuelo, y así sucesivamente, completando la serie de Fibonacci.

El helecho responde a la Geometría Fractal
Otra teoría, la de la geometría fractal, da una vuelta de tuerca a la disciplina, superando la rigidez de la escuela clásica o euclídea. La obra que supuso el despegue de esta teoría se titula «La Geometría Fractal de la Naturaleza». Desde su publicación en 1982, no han parado de encontrarse patrones fractales en la naturaleza, desde los valles de ríos hasta la anatomía de las plantas.
Una de sus características refleja la invariabilidad de su escala; es decir son iguales si los miramos de cerca o de lejos. El ejemplo clásico es el del helecho, donde función matemática que describe al individuo completo es la misma que describe sus hojas o partes más pequeñas. Esto permite, por ejemplo, que gracias a un programa informático muy sencillo podamos ver densos bosques de helechos en el cine. Esto tiene otras aplicaciones, como ayudar a generar mapas cuando se aplica la misma técnica a los paisajes.
RedacciónBBC News Mundo 23 febrero 2019

El vitral en espiral de la Capilla de Acción de Gracias, Dallas, Texas, Estados Unidos representa la secuencia de Fibonacci.
Durante los siglos en que China, India y el imperio islámico habían estado en ascenso, Europa había caído bajo una sombra.
Toda la vida intelectual, incluido el estudio de las matemáticas, se había estancado.
Pero en el siglo XIII, las cosas estaban empezando a cambiar.
Liderada por Italia, Europa empezó a explorar y comerciar con el oriente.
Con ese contacto llegó la difusión del conocimiento oriental hacia occidente.
Y sería el hijo de un funcionario de aduanas quien se convertiría en el primer gran matemático medieval de Europa.
De niño, viajó por el norte de África con su padre, donde aprendió sobre los desarrollos de las matemáticas árabes y, especialmente, los beneficios de los números indoarábigos.
Cuando llegó a Italia, escribió un libro que sería de gran influencia en el desarrollo de las matemáticas occidentales.
Fibonacci llevó los números indoarábigos a Europa, pero no fueron bienvenidos.

Ese matemático fue Leonardo de Pisa, más conocido como Fibonacci, y en su «Libro de cálculo», Fibonacci promovió el nuevo sistema de números, demostrando lo sencillo que era en comparación con los números romanos que se utilizaban en toda Europa.
Los cálculos eran mucho más fáciles, algo tremendamente importante para quienquiera que se ocupara de los números, desde matemáticos hasta comerciantes.
No obstante, lo que los números traídos de Oriente despertaron fue desconfianza, no alegría ni alivio.
Los viejos hábitos son difíciles de abandonar.

Algunos creían que estarían más expuestos al fraude, que se prestaban para ser manipulados.
Otros pensaban que eran tan fáciles de usar para los cálculos que le darían poder a las masas, quitándole autoridad a los intelectuales que sabían cómo usar el tipo de números antiguos.
La ciudad de Florencia incluso los prohibió en 1299.
Pero con el tiempo, prevaleció el sentido común, el nuevo sistema se extendió por toda Europa y el antiguo sistema romano se extinguió lentamente.
Por fin, los números hindú-árabes, de 0 a 9, triunfaron.
Hoy en día, Fibonacci es mejor conocido por el descubrimiento de unos números, ahora llamados la secuencia de Fibonacci, que surgieron cuando intentaba resolver un enigma sobre los hábitos de apareamiento de los conejos.

Los conejos tardan dos meses en alcanzar la madurez, y después de eso dan a luz a otro par de conejos cada mes.
El problema era cómo saber cuántos pares de conejos habría en un mes determinado.
Entonces:
El ritual de apareamiento continúa, pero lo que pronto notarás es que la cantidad de parejas de conejos que tienes en un mes dado es la suma de las parejas de conejos que has tenido en cada uno de los dos meses anteriores, así que la secuencia continúa…
1… 1… 2… 3… 5… 8… 13… 21… 34… 55… y así.
Resultó que los números de Fibonacci son los números favoritos de la naturaleza.No solo los conejos los usan.
El número de pétalos en una flor es invariablemente un número de Fibonacci. Si cuentas los segmentos de las piñas hacia arriba y hacia abajo los encontrarás. Incluso los caracoles los utilizan para hacer crecer sus conchas.

Doquiera que encuentres crecimiento en la naturaleza, encontrarás los números de Fibonacci.
La secuencia de Fibonacci es además es la prima matemática del número áureo, un número que ha obsesionado a la cultura humana durante miles de años.
Si divides cualquier número en la secuencia de Fibonacci por el anterior, por ejemplo, 55/34, o 21/13, y la respuesta siempre es cercana a 1.61803.
Y es por eso que la secuencia de Fibonacci también es conocida como la secuencia dorada, pues ese 1,61803 es lo que se conoce como el número áureo.
Es un número especial que se encuentra al dividir una línea en dos partes, de modo que la parte más larga (a) dividida por la parte más pequeña (b) es igual a la longitud total dividida por la parte más larga.
A menudo, el número áureo se simboliza usando phi, la 21ª letra del alfabeto griego.
En una forma de ecuación, se ve así:

Esos números se pueden aplicar a las proporciones de un rectángulo, llamado el rectángulo dorado, considerado como una de las formas geométricas más satisfactorias visualmente.
El rectángulo dorado también está relacionado con la espiral dorada, que se crea al hacer cuadrados adyacentes de dimensiones de Fibonacci.
Pero para quienes somos principiantes, quizás es más fácil entenderlo si lo pensamos en términos de diseño.
El número áureo ha sido descubierto y redescubierto muchas veces, y por eso que tiene tantos nombres: número de oro, razón extrema y media, razón áurea, razón dorada, media áurea, proporción áurea y divina proporción.

Históricamente, está expresado en la arquitectura de muchas creaciones antiguas.
En la Gran Pirámide de Giza, por ejemplo, la longitud de cada lado de la base es de 230 metros con una altura de 146 metros. La relación de la base con la altura es aproximadamente 1,575, muy cercano al número áureo.
Se cree que Fidias (500 a.C. – 432 a.C.), el famoso escultor y matemático griego, aplicó phi al diseño de esculturas para el Partenón.
«Sin matemáticas no hay arte», aseguró Luca Pacioli quien, en 1509, publicó «De divina proportione», ilustrado nada menos que por Leonardo da Vinci.
«De divina proportione» es un libro de matemáticas, pero desde la primera página Pacioli afirma que su intención es revelarle a los artistas el secreto de las formas armónicas mediante el uso de la proporción divina.
Y, de hecho, hay quienes piensan que el número áureo es la esencia de la belleza en las proporciones de las pinturas de Da Vinci, quien la llamó sectio aurea.
Aseguran que la usó para definir todas las proporciones en su «Última Cena», «Hombre de Vitruvio» y «Mona Lisa».

«La última cena» con algunos rectángulos áureos como guía. Algunos estudiosos muestran que la proporción se está presente en todas las dimensiones clave, desde las de la sala, la mesa y los escudos ornamentales hasta la posición de los protagonistas.protagonistas.
También se ha notado el empleo de esa divina proporción en obras de Miguel Ángel, Rafael, Rembrandt, Seurat, Salvador Dalí… y hasta en el logo de Twitter.
Pero no hay que siquiera salir de casa para encontrar ese número de oro: nuestros cuerpos y rostros siguen esa proporción matemática.
La longitud de nuestros dedos, cada sección desde la punta de la base hasta la muñeca es más grande que la anterior en aproximadamente la proporción de phi.
La medida de la distancia del ombligo humano al suelo y de la parte superior de la cabeza al ombligo es la proporción de oro.
Una molécula de ADN mide 34 angstroms por 21 angstroms en cada ciclo completo de la espiral de doble hélice. En la serie Fibonacci, 34 y 21 son números sucesivos.
Y, aparentemente, nuestros cerebros están programados para preferir los objetos y las imágenes que usan la proporción divina.
Varios estudios han demostrado que cuando se le pide a voluntarios en pruebas que observen una serie de caras aleatorias, y escojan las que consideran más atractivas -a pesar de no ser mi matemáticos ni físicos familiarizados con el phi- eligen las que muestran proporciones áureas entre el ancho de la cara y el ancho de los ojos, la nariz y las cejas.
Es casi una atracción subconsciente.
¡Viaje por la dimensión Biótica, Vivencial, Conciencial y Existencial del Hombre, hacia la comprensión del Mundo, la Vida y Nosotros mismos.!
abramoscomillas@yahoo.es
Derechos Reservados 2009 – Power by: Solgraphics Diseño